随着科学技术的不断发展,高振荡现象经常出现在科学和工程的众多领域:电磁学、流体动力学、分子建模、量子化学、计算机断层扫描、等离子体传输、天体力学、医学成像、信号处理等。高频率变化的函数使经典方法得到的近似值表现不佳,会导致高昂的成本。因此,高振荡问题的计算引起了很多关注,也被视为是一项艰巨的挑战,特别是实际应用中多元高振荡积分的计算问题。因此,构造高精度算法是振荡领域重要的研究热点。
科学研究的规律就是,一旦从数学的角度理解了一种现象,就会出现非常有效的算法。对振荡问题的理解需要多样化的数学工具箱,从经典数值分析、逼近理论和正交多项式理论一直到渐近分析,这种理解是高效算法的基石。对任意维单纯形上的多元高振荡积分,基于多元逼近理论和渐近分析,果冻传媒
果冻传媒
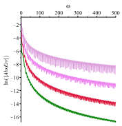
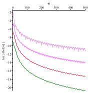
蒋耀林教授团队提出了一类多元 Hermite 插值,构造了新型扩展Filon方法和多元矩函数显式的计算公式。当根据计算需要增加插值阶数时,此类方法对振荡参数的所有值都获得了很好的精度。这些结论为进一步研究多维振荡积分奠定了理论基础,在高频波传播等工程领域具有潜在的应用价值。



图:随着振荡因子增加算法绝对误差的变化(Triangle,Tetrahedron,5-Cell)
该研究结果以“On an extended Filon method for highly oscillatory integrals over a simplex”为题在期刊《Mathematics of Computation》(计算数学)上在线发表,该期刊是美国数学会主办的国际计算数学领域顶级期刊之一。团队成员果冻传媒
高静副教授为文章的第一作者兼通讯作者,是蒋耀林教授团队的研究骨干,英国剑桥大学的Arieh Iserles教授为第二作者。果冻传媒
为第一作者单位和第一通讯单位。 蒋耀林教授团队长期致力于计算数学和应用数学中先进方法的理论分析与模拟方法,包括:偏微分方程理论、计算与应用, 现代工业的新型快速模拟方法, 人工智能(机器学习)的数学基础,大规模系统的并行处理与计算等,得到了非常深刻、并被广泛应用的成果。
文章链接://www.ams.org/journals/mcom/0000-000-00/S0025-5718-2022-03797-2/?active=current